建模文章解读 | 基于PBPK模型指导曲非奈肽I期临床研究对中度肾损伤患者的剂量调整
建模文章解读 | 基于PBPK模型指导曲非奈肽I期临床研究对中度肾损伤患者的剂量调整
Physiologically-Based Pharmacokinetic Modeling of Trofinetide in Moderate Renal Impairment for Phase 1 Clinical Study Dose Selection with Model Validation

Mona Darwish, Thomas C. Marbury, Rene Nunez, James M. Youakim, Di An, Inger Darling, Viera Lukacova, Kathie M. Bishop
美国Acadia 制药公司
美国Orlando临床研究中心
Simulations Plus, Inc.
王钰玺,凡默谷技术部
曲非奈肽(Trofinetide)是首个获批的治疗雷特综合征(RTT)的药物,该药物主要经肾脏以原形排泄。评估曲非奈肽在肾损伤患者的药物暴露变化至关重要。本研究首先建立并验证了曲非奈肽PBPK模型,并使用该模型预测四种肾损伤阶段(轻度、中度、重度、终末期肾病)所需的剂量,其中,中度肾损伤患者,需将剂量从12g降至6g,可实现与肾功能正常对照组相似的暴露水平,并将此剂量应用于I期中度肾损患者的临床研究中。结果表明,剂量调整后,在中度肾损伤患者中观察到的药代动力学结果与模型预测一致,验证了PBPK模型预测的剂量调整策略。
PBPK建模在该研究中的具体意义:
根据曲非奈肽在肾功能正常受试者的体内暴露,PBPK模型预测了不同程度肾损伤人群的给药剂量,对于中度肾损伤人群需将剂量从12g降至6g。
1
案例背景

雷特综合征(Rett Syndrome, RTT)是一种罕见且严重的神经发育障碍性疾病。RTT具有多系统共病的特征,影响曲非奈肽体内暴露的疾病因素包括肝或肾损伤。曲非奈肽主要通过尿液以原形排泄,需明确肾损伤是否会影响RTT患者的曲非奈肽清除率,从而导致曲非奈肽体内暴露增加而需调整给药剂量。
PBPK模型可通过模拟多种临床场景辅助临床试验设计、评估临床试验的必要性,本研究首先建立并验证了曲非奈肽PBPK模型,并对该模型进行了进一步的优化;然后基于肾小球滤过率(eGFR)预测虚拟肾损患者的暴露,推算不同肾损伤阶段所需的剂量,以实现与肾功能正常人群相近的暴露;最后预测的剂量调整策略随后应用于针对中度肾损伤患者与肾功能正常者的临床研究,并通过比较观测的暴露数据与模型预测值,完成对肾损伤PBPK模型的验证。
2
材料与方法
2.1 PBPK模型指导肾损伤人群的剂量调整
使用所搭建的PBPK模型评估四种肾损伤阶段的剂量调整策略。该PBPK模型整合了曲非奈肽的理化特性、生物药剂学参数(表1)及通过实验确定或模型开发优化的吸收、溶出和消除参数。在PBPK模型中,曲非奈肽的肾脏消除定义为肾小球滤过率(GFR)与血浆蛋白游离分数的乘积,并将所有组织设置为渗透限速型。假设曲非奈肽通过被动扩散从肠道吸收、通过被动滤过从尿液排泄。肾损伤生理参数源于GastroPlus®软件中内建的eGFR分类,并纳入了文献报道的系统性生理变化的数据。
剂量探索方式以1g为增量调整,使预测的各肾损伤阶段的血药浓度-时间曲线下面积(AUCinf)最接近肾功能正常受试者单次口服12g曲非奈肽的暴露水平(AUCinf = 856 μg·h/mL)。
表1 曲非奈肽理化和生物药剂性质

2.2 临床研究设计
本研究为一项在美国四家中心开展的I期、开放标签、单剂量研究。受试者为18–75岁成年男性或女性,筛选时eGFR ≥ 90mL/min/1.73m²(肾功能正常组)或30–59mL/min/1.73m²(中度肾损伤组),且血红蛋白> 9.5g/dL(肾损伤组)或> 11.5g/dL(肾功能正常组),肝功能指标≤2.5倍正常上限(仅肾损伤组)。肾功能正常组单次口服12g曲非奈肽,中度肾损伤组单次口服使用PBPK模型预测的剂量。
2.3 全血药代、尿液药代动力学评估
通过全血及尿液样本评估药代动力学参数,将检测的曲非奈肽全血浓度的数据通过Rbp转换为血浆浓度用于建模与验证。评估参数包括Cmax、Tmax、AUC0-t及AUCinf、肾脏清除率(CLr)、尿中原形药物的排泄量(Aeu)及排泄百分比(%feu)。
2.4 肾损伤PBPK模型的验证
完成临床研究后,使用在中度肾损伤患者及肾功能正常受试者中获得的药代动力学数据验证PBPK模型预测的暴露结果。曲非奈肽血药浓度数据、体重、身高、种族、性别、eGFR及其他生理数据从临床研究中提取,并整合至GastroPlus软件(版本9.8.2)的数据集中用于PBPK建模。为验证PBPK模型对曲非奈肽暴露的预测,将临床研究中实测的受试者的暴露(个体浓度、Cmax及AUCinf)与预测的虚拟人群(100例中度肾损伤受试者及100例肾功能正常对照,且年龄、体重、性别及eGFR与实测受试者相匹配)的暴露进行对比。该研究参与者的肾小球滤过率(eGFR)值是依据以下公式计算获得:

通过以下公式调整中度肾损伤生理模型中血细胞比容对Rbp的影响,并使用调整后的Rbp计算药物的血浆浓度:

其中:Rbpadult为肾功能正常成人的全血血浆药物浓度比;Hctadult为肾功能正常成人的红细胞比容;Hctadj为调整后的评估人群的血细胞比容;Rbpadj为调整后的全血血浆药物浓度比。
假设eGFR等同于实际GFR值,用于计算虚拟人群的肾损伤分类。虚拟人群的生理参数(包括器官重量、体积及血流量)由GastroPlus的PEAR Physiology™模块生成。所有参数均使用默认变异系数(%CV)模拟曲非奈肽药代动力学的个体间变异性。通过对比预测的虚拟人群的PK与观测数据的图形验证模型;为了直接比较预测和实测的Cmax和AUCinf,将观测的中度肾损伤组的Cmax及AUCinf基于剂量进行了标准化。
2.5 预测儿科用药剂量:确定性模拟
为了给患有中度肾损伤的儿科患者剂量调整建议提供更多的支持,本研究基于建立的曲非奈肽PBPK模型模拟了2-13岁、体重9-52kg的儿童的给药剂量。在GastroPlus软件中创建了涵盖儿童体重范围的虚拟女性儿科生理模型,这些模型包括肾功能正常、轻度和中度肾损伤,并且假定其具有与成人肾损伤相似的全身生理变化。轻度肾损伤的虚拟儿童使用了儿科给药指南中肾功能正常受试者的推荐剂量(5g-12g)进行模拟;中度肾损伤的虚拟儿童使用了肾功能正常受试者推荐剂量的50%(2.5g-6g)进行模拟。
3
结果
3.1 PBPK模型指导肾损伤人群的剂量调整
PBPK模型预测显示,肾损伤会导致曲非奈肽AUCinf显著升高(Cmax影响较小),且暴露增加程度与肾损伤严重度相关。针对中度肾损伤人群,模型预测6 g剂量可使AUCinf(854μg·h/mL)最接近肾功能正常受试者单次口服12g曲非奈肽的暴露水平(AUCinf = 856μg·h/mL),该剂量随后被应用于临床研究。
3.2 临床研究设计
本研究共纳入20例受试者(中度肾损伤组10例,肾功能正常对照组10例),中度肾损伤组中8例受试者为单次口服曲非奈肽6g,2例因给药错误口服8g;肾功能正常对照组均为单次口服曲非奈肽12g剂量。所有受试者均完成研究并纳入药代动力学分析(图1)。

图1 受试者参与情况
3.3 全血药代、尿液药代动力学特征
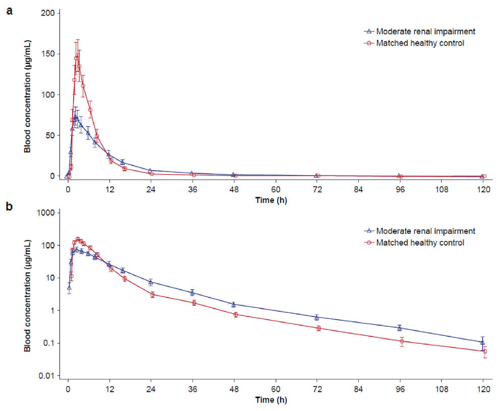
口服6g曲非奈肽的中度肾损伤组(n=8)与口服12g曲非奈肽的肾功能正常对照组(n=8)药代动力学特征总体相似(图2)。中度肾损伤组的Cmax约为肾功能正常组的50%,而AUCinf仅低19%。Tmax略有延迟,半衰期(t₁/₂)与清除率(CL/F)无显著差异(表2)。剂量标准化后,中度肾损伤组的AUCinf几何均数比(GMR)为肾功能正常组的1.81倍,Cmax则与肾功能正常组相当(表3)。

图2 中度肾损伤组(6 g)和肾功能正常对照组(12 g)的平均(±SD)曲非奈肽全血浓度-时间曲线。a: 线性图;b: 半对数图
表2 曲非奈肽在中度肾损伤患者(6例)和肾功能正常对照者(12例)中全血的平均(标准差)药代动力学参数

表3 曲非奈肽在中度肾损伤(6g或8g剂量)受试者与肾功能正常对照组(12g剂量)体内药代动力学参数的比较

3.4 肾损伤PBPK模型的验证
基于GastroPlus生成的虚拟人群(肾功能正常组与中度肾损伤组各100例)生理特征与临床研究受试者匹配。模拟结果显示,观测的曲非奈肽血药浓度与预测结果较为重叠,其中中度肾损伤组中一些观测到的曲非奈肽浓度低于群体模拟的第5百分位数(图3),剂量标准化后的Cmax、AUCinf的中位数也与模型预测值一致(图4)。

图3 不同时间点曲非奈肽平均血药浓度的模拟结果和观测值(左图以对数坐标轴显示,右图以线性坐标轴显示)。a,中度肾损伤人群;b,肾功能正常虚拟人群。实线和虚线灰色线条分别代表预测的曲非奈肽在100名虚拟受试者体内的血药浓度的均值、第5和第95百分位数。黑色圆圈代表观测的血药浓度,红色圆圈代表在服用8 g剂量的两名受试者中观测到的血药浓度(已标准化至 6 g剂量),水平线代表定量下限。

图4 中度肾损伤组和肾功能正常对照组以及相应的PBPK 虚拟人群模拟结果对比,剂量标准化后曲非奈肽的 Cmax值(a)和 AUC值(b)箱线图。方框表示第 25和第75百分位数,方框内的线条表示中位数(第50百分位数)
3.5 预测的儿科给药剂量
在 GastroPlus 中生成了生理参数与实际肾功能正常、轻度和中度肾损伤(年龄在 2-13岁)受试者相匹配的虚拟儿科人群。与预测的虚拟肾功能正常儿童相比,预测的接受相同剂量的轻度肾损伤儿童的曲非奈肽全血AUCinf约高出19.5%。对于使用肾功能正常者推荐剂量50%剂量模拟的中度肾损伤儿童,预测的曲非奈肽全血AUCinf与肾功能正常儿童相似。
4
讨论
本研究中观测的曲非奈肽体内暴露与PBPK模型的预测结果共同证实,中度肾功能损伤患者需减少50%剂量以实现与肾功能正常患者相同的体内暴露。在临床研究中,中度肾损伤组减少50%剂量后,其AUCinf与肾功能正常对照组相当,而Cmax则较低。当对暴露参数进行剂量标准化后,观测的中度肾损伤组的Cmax值与肾功能正常组相当,而剂量标准化后的AUCinf值约为肾功能正常组的两倍,这些结果与PBPK模型的预测结果一致。
观测的曲非奈肽浓度分布、药代动力学参数与PBPK模型预测的虚拟人群的暴露指标高度吻合,验证了模型对肾损伤的预测性能(包括儿科肾损伤模型),并支持针对中度肾损伤患者的给药剂量调整至肾功能正常的RTT患者推荐剂量的50%。模拟的儿科轻度肾损伤患者其暴露较肾功能正常组仅轻微升高,因此无需调整剂量。由于曲非奈肽主要经肾排泄,且PBPK模型预测未调整剂量时重度肾损伤与终末期肾病(ESRD)患者的AUC较肾功能正常受试者升高达10倍(ACP-2566-MS-003研究,未发表该数据),因此曲非奈肽不推荐用于此类患者。
尽管儿科剂量确定性模拟存在对儿童肾损伤病理变化假设的不确定性,但既往PBPK研究显示,将成人肾损伤的生理变化外推至儿科模型对其他肾排泄药物具有预测性,这也支持了本研究模拟结果的准确性。
曲非奈肽PBPK模型在应用前使用了已开展的临床研究数据进行验证,其中包括一项RTT患者的II期研究,但多数受试者为健康志愿者。总体而言,相较于PBPK模型模拟的100例虚拟肾损患者,本研究纳入的肾损受试者样本量较小(10例),但临床观测的曲非奈肽暴露指标与模型预测结果较为一致。
5
结论
曲非奈肽体内暴露的观测和预测结果都表明,对于中度肾损伤患者,将肾功能正常患者曲非奈肽的推荐给药剂量减少50%,即可达到与肾功能正常患者相同的体内药物暴露。此外,本研究还使用中度肾损患者的临床PK数据验证了肾损伤PBPK模型。
6
应用软件与模块
该案例应用的软件是GastroPlus (version 9.8.2),涉及模块为Base、PBPKPlus两个模块。
Physiologically-Based Pharmacokinetic Modeling of Trofinetide in Moderate Renal Impairment for Phase 1 Clinical Study Dose Selection with Model Validation.
Darwish, M., Marbury, T.C., Nunez, R. et al. Eur J Drug Metab Pharmacokinet. 50, 23-38 (2025). https://doi.org/10.1007/s13318-024-00924-1.