建模文章解读 | 整合PopPK与口服吸收PBPK模型探讨APX3330吸收高变异的原因
建模文章解读 | 整合PopPK与口服吸收PBPK模型探讨APX3330吸收高变异的原因

原文献作者与单位
Larissa L. Silva,Robert E. Stratford,Richard Messmann,Mark R. Kelley,Sara K. Quinney
美国印第安纳大学医学院
美国Apesian制药公司
解读人
王钰玺,凡默谷技术部
案例内容
APX3330以醌形式口服,在胃肠道内可迅速转化为对苯二酚形式。本研究基于日本健康受试者和癌症患者口服APX3330后的血浆中总醌浓度,使用Monolix软件建立PopPK模型,估算药代动力学参数并评估了协变量效应。结果分析表明,APX3330的口服吸收具有高变异性,与食物同服用会导致口服吸收时间增加80%。为了进一步考察食物对吸收的影响,使用GastroPlus软件建立了口服吸收PBPK模型,分别模拟空腹和餐后状态下醌和对苯二酚形式的体内溶出和吸收曲线。模拟结果表明,空腹状态下体内溶出是限制吸收主要因素,餐后状态下胃排空速率是限速吸收的主要因素,APX3330的吸收延迟和高变异可能与胃肠道中醌形式的APX3330转化为溶解度更高、渗透性更差的对苯二酚形式的程度有关。

案例研究流程图
研究背景
APX3330(以前称为E3330)是首个特异性抑制APE1/Ref-1的小分子新药,已被开发用于治疗肝炎、癌症、糖尿病视网膜病变和黄斑水肿。可阻断多种转录因子的活性,这些转录因子包括HIF-1a、NFkB、STAT3、AP-1等,它们参与了癌细胞信号传导和肿瘤生长的调控。
口服给药后,APX3330表现出高度的吸收变异性。APX3330含有一个类醌核,当APX3330以醌分子形式口服给药后,它可能在胃肠道内迅速转化为对苯二酚形式,这两种形式体外都可以通过细胞色素p450酶和葡萄糖醛酸化代谢。由于APX3330的醌和对苯二酚形式表现出不同的物理化学性质(表1),如果在吸收之前转化为对苯二酚可能会影响吸收。口服吸收是一个复杂的多步骤过程,包括崩解、溶出、渗透和胃肠道转运。吸收取决于药物的理化性质、处方和胃肠道生理。为了提高对口服药物吸收速度和程度的理解和预测能力,已经发展了各种各样的建模和模拟方法。
本研究旨在描述APX3330的临床药代动力学,使用I期临床研究中观测到的日本健康男性受试者和实体瘤患者体内的总醌浓度建立了群体药代动力学(PopPK)模型,结果分析表明,APX3330的口服吸收具有高变异性。因此,为了进一步了解醌和对苯二酚之间的理化差异、胃肠道生理和食物如何影响的APX3330的口服吸收,本研究继续使用GastroPlus软件结合高级房室吸收与转运(ACAT)模型建立了口服吸收生理药代动力学(PBPK)模型。
材料与方法
2.1 血浆浓度数据来源
APX3330血药浓度数据来自日本健康男性受试者中开展的四项研究:单次剂量递增安全性研究(口服10、30、60、120、180和240mg)、多剂量安全性研究(120 mg,每天口服1次或2次)、食物影响单剂量交叉研究(口服剂量120mg)、以及单次口服高剂量安全性研究(300、420和600mg)。除了上述数据来源以外,还有APX3330以120mg-360 mg的剂量每天两次、连续给药22天的癌症患者的数据。用于定量APX330的生物分析方法没有区分醌和对苯二酚,而是将样品氧化使得对苯二酚转化为醌,并测量APX3330醌形式的浓度。因此,测量的浓度代表了总醌,基于总醌的血浆浓度开发了PopPK和口服吸收PBPK模型。
2.2 PopPK模型
PopPK模型分析是在Monolix 2019 R2中使用非线性混合效应的建模方法完成的。使用随机近似期望最大化(SAEM)和重要性抽样方法估算结构模型和方差参数。PopPK模型的搭建采用了一种分阶段的方法,首先使用健康受试者的APX3330血浆浓度建立了初始PopPK模型,然后将癌症患者的数据添加到健康受试者的数据中,建立了最终的PopPK模型。
评估了从中心室一级消除的一室和两室模型,以及有和没有滞后时间(tlag)的一级吸收模型。假设了PK参数、个体间变异(IIV)和场合间变异(IOV)的随机效应均符合对数正态分布,IIV和IOV均采用指数型函数表达式来描述。使用加和型、比例型和结合型模型评估了残差变异,并假设残差变异符合均值为0的正态分布。通过逐步消除个体固定效应的随机效应来改进误差模型,以减少过度参数化。所有参数的标准误差均由Monolix计算得到,基于拟合优度图、估计精度和贝叶斯信息准则(BIC)选择了基础结构模型。基于随机效应(Eta)图的目视检查对协变量进行了筛选,评估了体重 (WT,标准化至70kg)、给药时间或周期、剂量、食物、白蛋白浓度和数据来源(健康的日本人与癌症患者)的协变量效应,使用幂函数模型描述协变量与药动学参数的关系。
将在Eta图中显示出正或负趋势的协变量分别添加到模型中,并且保留使-2LL(−2log-likelihood)降低至少3.84(p<0.05)的协变量。所有在单变量分析中,将所有使-2LL显著变化的协变量纳入模型,如果该协变量的剔除导致-2LL增加6.63(p<0.01)以上,则在最终模型中保留该协变量。
使用自举法评估了参数估算的精度,重复采样1000次,并比较自举法得到的参数估算值与最终模型参数的估算值。使用VPC(visual predictive check)图评估了模型的预测性能,使用最终模型模拟了250个数据集,并绘制了第50%分位数(中位数)以及5%和95%分位数的预测浓度,并将其与观测浓度进行比较,以确保模型能够再现推导出的数据。
2.3 口服吸收PBPK模型
口服吸收PBPK模型采用GastroPlus 9.8建立,结合APX3330醌和对苯二酚形式的极性表面积(PSA)和氢键供体数(HBD),根据公式logPeff = 4-2.546 - 0.011×PSA - 0.278×HBD,计算了人体有效渗透率(Peff),血浆游离药物分数、pKa使用了实验值,其余理化和生物药剂学参数均使用了ADMET Predictor 10.0的预测值(见表1)。
表1 APX330醌和对苯二酚形式的理化、生物药剂学和处置学参数

APX3330醌是胃肠道吸收的主要形式,因此该模型是利用醌形式的物理化学性质建立的。使用空腹和餐后状态下口服120mg APX3330醌形式的PK数据优化了ACAT模型(主要是优化了模型中的吸收放大因子,ASFs),其他剂量的PK数据用于模型验证。考虑到本研究的目的是探索导致APX3330口服吸收高变异的潜在机制,因此选择使用了二房室模型来描述APX3330的分布和清除,k12和k21是在PopPK模型和GastroPlus软件的PKPlus模块计算值的基础上优化获得。比较了模拟的日本健康受试者空腹状态下口服10、30、60、180、120、240、300、420和600mg单次递增剂量,以及在餐后状态下单次或多次口服120mg APX3330后观测和预测的APX3330浓度。
口服吸收PBPK模型的预测性能通过PK参数(AUC0-inf,Cmax, Tmax)的平均折叠误差(mean fold error, MFE)进行了评估。此外,还评估了观测和预测血药浓度的平均折叠误差(average fold error, AFE),计算公式如下:

模型可接受标准为预测的PK参数和浓度在观测值的两倍之内(MFE和AFE = 0.5-2.0)。
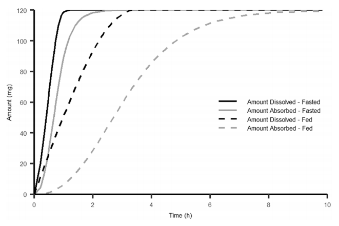
为了评估120 mg剂量APX3330的吸收是否受到渗透性或溶解度的限制,更好地理解食物存在下的吸收延迟,本研究直观地比较了ACAT模型预测的APX3330在体内溶出和吸收的量的曲线,并计算了醌和对苯二酚形式的APX3330在空腹和餐后生理状态下溶出和吸收所需的时间差异。
结果
3.1 PopPK分析
健康受试者研究共招募了49名健康的日本男性受试者,平均年龄25.4岁,体重52~77 kg。癌症研究包括19名受试者,其中13名(68.42%)是男性,大多数为白人(84.21%),在试验期间癌症患者的平均体重为88.3 kg。基于1460个APX3330血浆浓度数据建立了PopPK模型,其中211个(14.45%)数据来自癌症患者的研究。
具有一级吸收的二房室模型可以最好地描述APX3330在健康日本受试者中观测到的血药浓度。与没有tlag的模型(BIC=7115.17)相比,包含tlag的模型(BIC=5998.53)可以更好的拟合观测值,最终估算的模型参数见表2。观测数据支持在表观中央室清除率(CL/F)、中央室分布体积(V1/F)和一级吸收速率常数(ka)上添加IIV,以及在ka和tlag上添加IOV。CL/F与V1/F、ka与tlag之间存在协方差。比例型误差模型是最佳的误差模型。固定效应和随机效应都得到了精确的估算,相对标准误差小于29%。拟合优度图显示预测和观测值非常拟合,观测值与群体和个体预测浓度在同一线直线附近,没有明显的偏差。个体和群体加权残差图呈随机分布,没有明显的集中趋势和时间相关趋势。
表2 最终APX3330 PopPK模型的参数估算结果

对于日本健康受试者的数据,协变量的目视检查和似然比检验结果显示,PK参数没有给药周期或剂量效应。WT与CL/F(Δ-2LL =−14.38)和V1/F (Δ-2LL =−9.98)呈正相关。本研究还发现食物对tlag有影响(Δ-2LL =−34.06),这解释了该参数15%以上的IOV。APX3330与食物同服会导致其吸收延迟,tlag提高80%,虽然在前向纳入步骤中显示食物对ka有影响,但它不符合后向剔除的标准,因此未作为协变量纳入最终的模型。表2汇总了对各PK参数有显著影响的协变量。
将癌症患者的数据添加到模型中,导致协变量结构和参数估计值略有修改(表2)。Eta和协变量的目视检查图显示,日本健康受试者与癌症患者之间的CL/F存在明显差异,虽然这可能是受试者之间白蛋白浓度的差异导致的,但研究人群的其他差异(例如年龄、疾病状态和种族)也可能导致这种结果。因此,“受试者来源”作为协变量被纳入模型,而不是白蛋白浓度,因为它代表了两个人群之间所有差异。似然比检验表明,在CL/F中纳入该协变量具有统计学差异(Δ-2LL =−39.52)。癌症患者的表观口服清除率(CL/F)比健康受试者约高出41%。在最终模型中,WT对CL/F和V1/F的影响以及食物对tlag的影响仍然显著,如图1所示。

图1 基于日本健康受试者和癌症患者数据的基础模型和最终模型的药代动力学参数与协变量影响的关系
上图展示了CL/F的个体间变异(ηCL/F)vs. 受试者来源和WT(kg),V1/F的个体间变异(ηV1/F)vs. WT,以及空腹或餐后状态的tlag的个体间变异(ηtlag)vs. 食物。左列-基础模型为在模型中纳入协变量效应之前,右列-最终模型为纳入这些协变量之后。方框代表第25、50和75百分位数;其中点为观测数据,蓝线为加权最小二乘法局部回归的拟合结果。
最终模型的拟合优度图(图2)显示,模型对APX3330的观测值拟合的很好,其中大多数观测值的中位数、第5和第95百分位数曲线包含在相应的模型预测置信区间内。此外,还通过自举法对模型的稳定性进行了评价,结果表明模型稳定性较好。

图2 APX3330血浆浓度的拟合优度图(包括群体数据、单次或多次给药、空腹或餐后状态下和不同受试者来源的PK数据,圆圈代表观测值,IWRES为个体加权残差;PWRES为人群加权残差)
3.2 口服吸收PBPK模型
ADMET Predictor预测APX3330的理化和生物药剂学参数见表1。观察的PK数据基本都在预测范围95%置信区间内(结果未展示)。预测的PK参数(AUC、Cmax、Tmax)和PK数据均符合验收标准,其中MFE的范围分别为0.74-1.22、0.83-1.17、0.55-1.22,如表3所示,模拟的空腹和餐后状态下的AFE分别为1.00和0.79。
胃肠道中APX3330醌与对苯二酚形式的比例的个体间变异可能导致了吸收的高变异性,特别是在餐后状态下。对苯二酚形式比醌形式具有更高的溶解度、但更低的渗透性(见表1)。空腹状态下,模拟的醌形式的APX3330在胃肠道中溶出的量与吸收的量曲线形状相似且接近(图3),表明溶出在很大程度上控制了APX3330的吸收速度。且模型准确地模拟了食物对药物吸收的延迟,餐后状态下Cmax约在6 h,而空腹状态下约2h,预测的餐后相比空腹状态下完全溶出的时间增加了3.3h(表3)。在餐后状态下,预测的醌形式的APX3330溶出的量和吸收的量曲线之间的关系发生了实质性的变化,溶出对APX3330吸收的控制减小。而对苯二酚形式的APX3330在餐后和空腹状态下都能迅速溶解,然而,食物大大降低了对苯二酚的吸收速率。餐后状态下,醌和对苯二酚的渗透性差异对PK的影响更为明显。

图3 健康受试者在空腹(实线)和餐后(虚线)状态下口服120 mg APX3330速释片后的体内吸收(灰线)和溶出(黑线)曲线
表3 预测和观测的APX3330的AUC0-inf、Cmax、Tmax及预测误差

讨论与总结
本研究首先使用一组健康日本受试者的PK数据,建立了初始PopPK模型来描述APX3330的PK特性,确定了食物对吸收延迟的影响。接着,将PopPK模型扩展到不同类型实体瘤患者,建立了最终的PopPK模型。虽然PopPK模型预测值与观测数据拟合得很好,但吸收参数ka和tlag的变异超过了50%。因此,本研究进一步建立了口服吸收PBPK模型,以便更好地了解APX3330醌和对苯二酚的理化性质和胃肠道生理环境对药物吸收过程及其与食物相互作用的影响。
建立的口服吸收PBPK模型预测了APX3330醌在体内的溶出和吸收曲线,结果表明,在空腹状态下,受溶解度影响的溶出速率是APX3330醌吸收速率的限制因素,对于BCS II类药物,这是非常合理的,也与ADMET Predictor预测的醌的性质相符。然而,在餐后状态下,没有观察到溶出速率显著限制吸收的现象。相反,APX3330对苯二酚形式在餐后和空腹状态下都表现出快速溶出,渗透性是吸收的主要限制因素。对苯二酚比醌的吸收要慢得多,而食物又进一步延缓了对苯二酚的吸收。因此,胃肠道中醌与对苯二酚的比例似乎导致了APX3330吸收的高变异。在餐后状态下观察到的胃pH值的增加可能会改变醌和对苯二酚之间的相互转化速率,因为该转化过程是pH依赖性的,或者仅仅是吸收前时间的延长,可能会产生更多的高可溶性对苯二酚形式,而预测的理化性质表明对苯二酚属于BCS I类。对于BCS I类药物,食物通常会导致从吸收过程中的溶出限速转变为渗透限速或胃排空限速,在餐后状态下高比例的对苯二酚形式的APX3330更可能发生该转变。
本研究结合了PopPK和口服吸收PBPK模型,为考察这类药物的吸收机制提供了重要的见解,两个模型都确定了食物对药物吸收的影响。结果表明,胃肠道内醌和对苯二酚形式的APX3330之间的转换可能会受到食物存在的影响,导致其吸收发生变化。
应用软件与模块
该案例应用的软件为:Monolix 2019 R2;R 4.0.3;GastroPlus (version 9.8),涉及模块有Base, PBPKPlus, PKPlus;ADMET Predictor (version 10.0),涉及模块有Physicochemical & Biopharmaceutical (PCB)。
参考文献
Bridging population pharmacokinetic and semimechanistic absorption modeling of APX3330[J].
Silva L L, Stratford R E, Messmann R, et al. CPT: Pharmacometrics & Systems Pharmacology, 2024, 13(1): 106-117. IF: 3.1