文章推荐 | 基于生理药动学模型预测阿托品局部给药的眼部暴露
文章推荐 | 基于生理药动学模型预测阿托品局部给药的眼部暴露
An Ocular Exposure Prediction for Topical Atropine in Human Using Physiologically Based Pharmacokinetic Modeling

原文献作者与单位
郑澳乐、韩田、卜凤娇、何庆烽、 Paul Chi Lui Ho、相小强、周行涛、黄韬敏
复旦大学药学院,临床药学与药事管理学系
复旦大学附属眼耳鼻喉科医院眼科研究院
国家卫生健康委员会近视眼重点实验室
上海市眼视光学研究中心
上海市激光与裸眼3D视觉健康工程技术研究中心
复旦大学附属眼耳鼻喉科医院,药学部
莫纳什大学马来西亚药学院
衢州复旦研究院
克服递药屏障高端制剂全国重点实验室
导 读
复旦大学药学院相小强团队和复旦大学附属眼耳鼻喉科医院等团队开发了一种基于OCAT™的人眼生理药代动力学(PBPK)模型,用于预测阿托品局部给药后在眼部的分布与生物利用度。模型首先在兔子身上构建与验证,并通过生理外推应用于人,能准确预测低浓度阿托品在人眼的暴露和分布情况。研究证实该OCAT-PBPK模型具有跨物种预测能力,并揭示阿托品具有显著穿透眼后段的潜力,为其在近视进展中可能的治疗机制提供了理论依据。
概 述
构建用于模拟阿托品在人眼中分布及生物利用度的预测模型对阿托品的眼部临床应用具有重要意义。本研究旨在开发眼部给药阿托品的人体眼部生理药代动力学(PBPK)模型,并探索阿托品在儿童近视进展中可能的作用机制。研究采用Gastroplus中的Ocular Compartment Absorption and Transit(OCAT™)模型,描述阿托品不同剂量下在家兔和人眼中的分布过程。PBPK模型能够基于不同物种的生理和解剖特征,实现药代动力学特征的外推。构建并验证的OCAT-PBPK模型与兔眼组织及人眼房水中的实测数据相对一致。外推后的人体OCAT-PBPK模型能够准确预测低浓度阿托品给药后的眼部暴露与分布情况。本研究证实了OCAT-PBPK模型在不同物种中预测眼部药代行为的有效性。模型预测结果显示,阿托品具有穿透眼后段的显著潜力,为其在眼内发挥作用的机制提供了理论依据。

图1. 研究方法示意图
本研究要点
1. 家兔眼部PBPK模型的建立
用一组0.05mL 1%阿托品家兔眼部给药的实验数据建立模型,并使用另外两组0.025mL 1% 和0.04mL 0.01%的实验数据验证模型。OCAT-PBPK模型大致能够预测家兔眼部各组织的阿托品浓度变化趋势,拟合优度图GOF图显示预测有58%的点的FE在0.5-2倍范围内。

图2. 0.05 mL 1% 阿托品眼部给药后的模型验证结果

图3. 0.025 mL 1% 阿托品(▲)/ 0.04 mL 0.01% 阿托品(■)眼部给药后的模型验

图4. 家兔眼部给药后的PBPK模型拟合优度图
2. 人眼部PBPK模型的外推及验证
通过改变相关眼部生理参数实现模型外推,并使用人的房水数据进行模型验证,外推后的模型能够描述阿托品在人眼的药动学过程,揭示了阿托品的眼部药物转运机制可能为结膜-巩膜途径。

图5. 0.05 mL 0.01%阿托品眼部给药后的模型外推结果。●:实测人类房水阿托品浓度

图6. 0.05 mL 0.05%阿托品(实线)/0.05 mL 0.025%阿托品(虚线)阿托品眼部给药后的模型外推结果
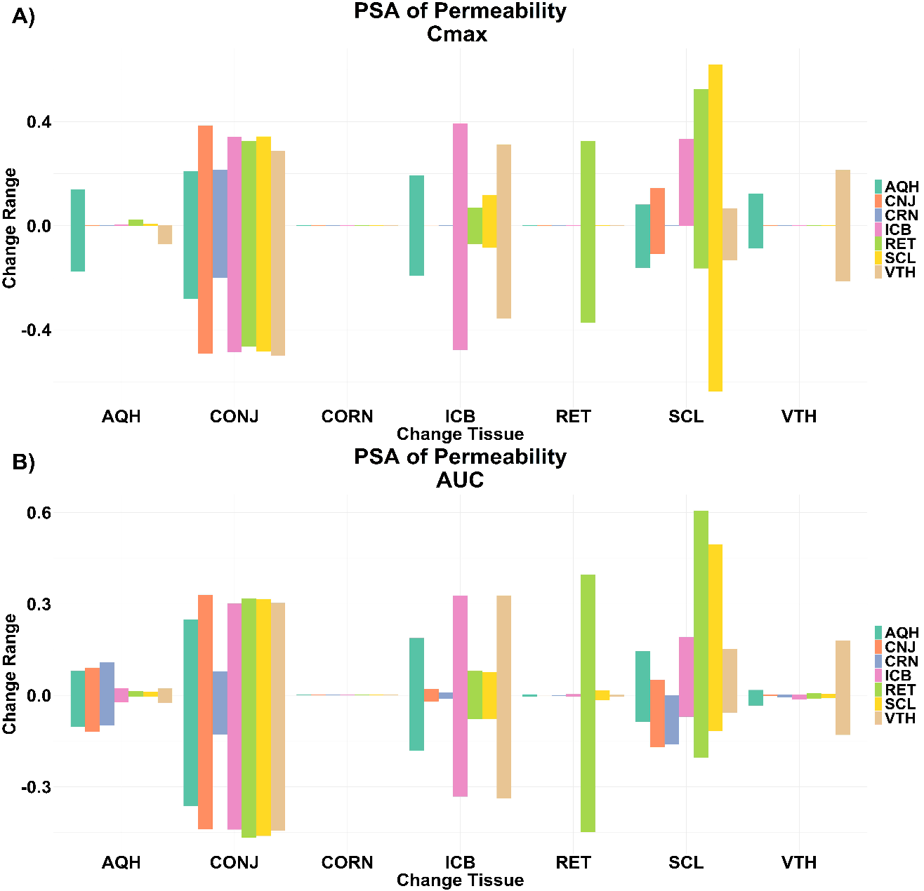
3. OCAT-PBPK模型的敏感性分析
为了确定敏感参数,研究使用了GastroPlus中的“PSA”模块。分析的关键参数值包括眼部渗透性、黑色素结合能力以及系统吸收速率,变动范围为 ±100%。随后评估这些参数变动对主要药代动力学参数(如药物最大浓度Cmax和曲线下面积AUC0-t)的影响,涉及的眼部组织包括结膜、角膜、房水、虹膜-睫状体、巩膜、视网膜和玻璃体等多个部位。渗透性的敏感性分析显示结膜的渗透性对阿托品的眼部组织PK影响较大。

图7. 眼部渗透率的敏感性分析结果。AQH, 房水;CNJ, 结膜;CRN, 角膜;ICB, 巩膜睫状体;RET, 视网膜;SCL, 巩膜;VTH, 玻璃体液
本研究的亮点与价值
1. 研究亮点
本研究首次构建阿托品的眼部PBPK模型:本研究开发了首个用于模拟阿托品在眼部分布的人体OCAT-PBPK模型,填补了阿托品眼部药代建模的空白。
跨物种外推实现人类眼部PK预测:模型基于家兔的眼部药代动力学数据,结合体外参数,成功实现了从动物到人类的药代外推。
2. 研究价值
促进儿科眼科用药精准化:研究为阿托品在儿童近视管理中的机制提供了定量解释框架,有助于优化低浓度阿托品的临床使用策略。
提升眼科药物研发效率:OCAT-PBPK模型作为前瞻性的建模工具,可在药物早期开发阶段用于评估新型制剂或不同剂量对眼部暴露的影响,降低临床试验依赖。
支撑种族差异假说:模型整合体外实验数据,在无需依赖特定动物实验的前提下,支持了种族间眼部药物暴露差异的理论推演,有助于实现个体化用药。
参考文献
An Ocular Exposure Prediction for Topical Atropine in Human Using Physiologically Based Pharmacokinetic Modeling
Aole Zheng, Tian Han, Fengjiao Bu, Qingfeng He, Jianmin Shang, Paul Chi Lui Ho, Xiaoqiang Xiang, Xingtao Zhou, Taomin Huang. The AAPS Journal (2025) 27:89
https://doi.org/10.1208/s12248-025-01052-7